我得说,Amos 26这软件真是个做数据分析的神器,尤其是搞结构方程模型(SEM)的时候。它最大的好处就是不用敲代码,全靠拖拽画图,对新手特别友好。你只要把变量之间的关系用箭头连起来,它就能帮你算出复杂的因果关系,比那些传统的统计方法更能反映真实世界里变量间纠缠不清的联系。
我最喜欢它那个图形界面,直接把数据集里的变量名拖到图上就行,特别直观。而且新版加了不少厉害的功能,比如多组分析和蒙特卡洛模拟,还能跟手机联动看数据,感觉科技感满满。虽然安装步骤有点繁琐,还得找补丁破解,但搞定了就能免费用所有高级功能,这波不亏。
不过话说回来,画模型图的时候可得小心,那些被箭头指到的潜变量千万别忘了加残差,不然模型根本跑不起来。我之前就踩过这个坑,折腾半天才发现是少画了几个小圆圈。总的来说,Amos 26把复杂的统计原理变成了可视化的操作,让分析过程变得既准确又有趣,确实是科研狗和数据分析爱好者的好帮手。
amos26,全称为ibm spss amos 26。这是IBM公司推出的一款功能强大的结构方程模型软件,软件主要还是结构方程模型的处理,属于数据分析的一种工具,支持您通过指定、估算、评估和呈现模型来显示变量之间的假定关系。amos26操作界面友好,不需要写命令,比较适合新手。并且它还可以快速创建模型以检验变量之间的相互影响及其原因,对其它数值变量进行预测和验证,用标准方法以及在此基础上扩展的方法进行多元分析,从而得到准确的因果关系,进一步获取更精确、丰富的综合分析结果。支持运行并调试脚本,也可使用创建工具调用的类来增强命令功能,为用户进行基本或高级统计分析结构方程模型提供了各方面便利的需求。
与之前版本相比,全新的amos26带来了许多新功能,例如新增辅助多组分析、高级文本输出、探索性结果方程模型以及扩展的AMOS编程环境等功能,与移动平台整合,实现数据互动。改进蒙特卡洛模拟,提供探究方法,如结构方程模型规范搜索,帮助在大量候选模型中进行选择。可以使用直观的图形或程序化用户界面构建态度和行为模型,与标准多变量统计方法相比,这些模型可以更准确地反映复杂关系。
软件特色
1、与移动平台整合,实现数据互动
2、快速幻灯片演示输出
3、改进蒙特卡洛模拟
4、模拟字符串
5、支持自动线性模型
6、生成热度图
7、关联同类输入项
8、缺少预测模型时仍然生成数据
amos26安装教程
1、在本站下载解压,得到IBM SPSS Amos 26安装包和Crack补丁;

2、首先双击运行"SPSS_Amos_26_win32.exe"程序,勾选“I accept…“,接受软件安装协议;

3、按默认目录进行安装,用户也可自行更改安装路径;

4、安装完成之后,先不运行软件,点击Finish退出安装向导;

5、将Crack补丁中的许可证文件复制到软件目录下进行替换;
默认目录:C:\Program Files (x86)\IBM\SPSS\Amos\26

6、打开软件,可看到软件已经成功激活啦,可免费使用所有功能;
amos26使用教程
1、首先,Amos软件打开之后,初始界面是这样的左边有各种按钮的是工具箱,供我们画模型时候选择;右边主界面是模型的展示界面、也是操作界面。

2、要画潜变量,就点击椭圆按钮,再点击鼠标在任意区域内画出你想要的椭圆形状,同理也可以画出观察变量(矩形)。画潜变量或观察变量的残差只需要先点击残差按钮(第2排第3个),再在潜变量或观察变量的形状上点击即可。

2、但是画完潜变量之后,要画观察变量和残差有一个非常简便的方法,就是直接点击第1排第3个图标,再点相应的潜变量,就可以直接画出,要画几个就点几下。
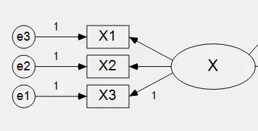
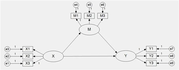
我们来操作一下画出X这个变量和他相应的测量项:

3、由于X M Y三个变量结构都是一样的,我们画完其中一个之后,可以利用复制按钮复现出另外的变量。这里的手势按钮分别是:(第一排)单选、全选和全不选;(第二排)复制、移动和删除。

4、在复制之前,我们要先选中需要复制的对象,①当你要复制个别对象的时候,选择单选按钮—点击要复制的对象—点击复制按钮—鼠标左键按住拖拽想要复制的对象,就可以把选中对象复制到其他地方。②这里我们要复制的是画面上的所有对象,所以选择全选,再拖动复制到合适的地方。

5、接着,右击任意对象可以对它的一些属性进行设置,我们将这个变量命名为X。那么X1 X2 X3几个观察变量的名称是不是也这么编辑呢,也可以,但是比较麻烦,而且要是你输入的名称和数据库里测量项的名称不一样,最后就运行不了了。
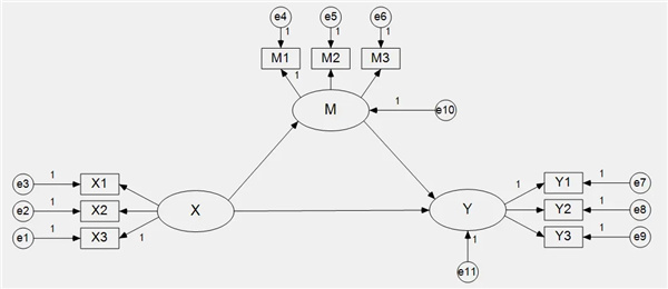
6、现在我们把潜变量之间的关系做一个连线,单箭头就是回归,双箭头就是相关,具体连哪些变量、怎么连,一般都是要相应的理论支撑的。在这个模型里,我预设的是X影响M和Y,M影响Y。连完线如下图所示

7、此时还有一些细节需要注意。我们看到潜变量M和Y都是被箭头指向,这里特别提出,凡是被箭头指到的潜变量都要加残差,不加的话模型是无法运行的。加了残差之后,模型就已经完成了。模型建立完之后,就可以进行模型的计算。左边按钮是设置“分析属性”,包括你要使用什么方法分析、输出哪些结果等等,这一期先不提。右边按钮是计算。
Amos26新功能
一、图形化用户界面
通过路径图浏览器,可以显示路径模型以及当前文件夹下所有路径模型的描述以及小图标
通过简单的点击来选择程序的选项
通过单击鼠标在路径图上直接创建新的变量
一次点击查看不同的组或模型
浏览数据文件内容
直接从数据集中把变量名字拖拽到路径图上
二、建模能力
创建具有观测变量和潜变量的结构方程模型(包括路径分析和纵向数据模型)
利用两种方法指定候选模型:
为每个候选模型设置一组参数相等的约束
探索性方式应用SEM。AMOS会尝试很多模型,同时基于AIC及BIC统计量比较模型,并给出最佳模型的建议
拟合验证性因子模型,方差成分模型,变量中含有误差的模型,以及一般的潜变量模型
分析均值结构以及多组数据:
利用自动化设置迅速地制定并检验多组数据
同时分析来自多个总体的数据
把因子及回归分析合并到一个模型中同时拟合来节省时间
同时分析多组模型:AMOS能够确定哪些模型是嵌套的并能够自动计算校验统计量
将路径图转化为VB程序
用自动生成的参数限制来拟合线性增长曲线模型
三、潜在类别分析(混合模型)
进行市场细分研究
估计每个类群或划分的大小
进行混合回归分析和混合建模
进行混合因子分析
估计个体属于某类群的概率
训练分类模型。预先指定一些个体属于某个组,再利用模型对剩余的个体分类
在多组模型中,限定一些模型参数在各族相等,同时其它参数可随不同组而变化
点击星星用来评分